您現在的位置:中國農業儀器網 > 技術文章 > 土壤水分測試儀是如何進行校準工作
土壤水分測試儀是如何進行校準工作
進行農業種植,需要了解自家耕地里面土壤的水分含量,以前科技不發達的時候,一般是借助肉眼觀察,手觸摸這些簡單的感官方式,隨著社會發展,一些精密儀器相繼被研發出來,土壤分析儀,土壤水分測試儀等,被應用在農業生產上,為農業現代化生產做出來巨大貢獻。這些儀器在研究的時候,碰到很多難題,不過都被我們的科學家一一解決,尤其是在進行儀器校準方面方案的解決,下面為大家詳細介紹一下土壤水分測試儀是如何進行校準工作。
土壤水分測試儀的原理和組成:土壤水分測試儀是利用FDR原理,使用穩定可靠的高精度傳感器,根據探測器發出的電磁波在不同介電常數物質中的反射不同,計算出被測物含水量。現在市場上該設備的測量范圍一般為0~100%,準確度一般為±2%。
土壤水分測試儀包含探頭(傳感器)、探測系統、手持信號處理與顯示系統、通訊電纜、配套軟件系統等4個部分,如圖1。

土壤水分探頭(傳感器)工作原理,土壤水分探頭由一個內含電子器件的防水室和與之一端相連的4個不銹鋼針的成型探針組成,這些探針直接插入土壤。探頭尾部的電纜線連接適宜的電壓源和輸出模擬信號。水分探頭是一種采用模擬信號處理的設備,不斷產生電信號和以電壓比表示的土壤性質。特殊設計的傳輸線產生高頻信號,測量土壤參數。傳輸線的阻抗隨土壤阻抗變化而變化。阻抗包括表觀介電常數和離子傳導率。選用電信號的頻率使離子傳導率的影響最小,以使傳輸線阻抗變化幾乎僅依賴于土壤介電常數的變化。這些變化產生一個電壓駐波,駐波隨探針周圍介質的變化增加或減小晶體振蕩器產生的電壓。輸出電壓在0~1V(DC)表示土壤介電常數在1~32之間。這一范圍代表一般礦質土壤的容積含水量0.5m3/m-3。
信號處理與顯示系統采用微處理器進行控制、運算、存儲。16位精度的AD變換器,使測量顯示精度提高,并由一個32位的液晶顯示器顯示測量結果。在對土壤水分進行測量時,儀表可以直接顯示容積含水量。濕度探頭采用高頻技術對被測介質的相對介電常數Ka進行測量。根據不同含水率土壤對應探頭檢測的不同模擬信號(毫伏電壓信號),對無機土壤進行了嚴格的標定,然后把制作的標準曲線(含水率-毫伏電壓信號)作為標準曲線,經過數據處理后,直接把含水率顯示出來。
土壤水分測試儀的校準原理,從該設備的組成及工作原理聯想到,可以用校準該設備的電量變化準確性來校準該設備的準確性。但是,設備電量信號的準確性只能說明該設備內部信號處理方法的準確性,不能完全說明該電量信號是否真實地反應了相應變化的實際土壤水分的準確性,所以用校準電量來校準該設備的方法不完全正確。那么,只好把該設備測定的土壤含水率與用干燥法測定的含水率進行比較,也就是采用比較法對該設備進行校準,從而確定該設備測量結果的準確性。
土壤水分測試儀校準數據的處理,采用比較法對設備的校準,首先考慮的是該數據是否線性相關,如果是線性相關就可以計算出一條修正曲線和修正公式。
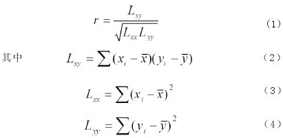
相關關系是一種非確定性的關系,相關系數r是研究變量之間線性相關程度的量。相關系數的性質為|r|≤1,即相關系數r取值在-1到1之間。r=0時,稱x,y兩變量不相關;|r|=1時,稱x,y完全相關,此時,x,y之間具有線性函數關系;|r|<1時,x的變動引起y的部分變動,r的絕對值越大,x的變動引起Y的變動就越大;|r|>0.8時稱為高度相關,當|r|<0.3時,稱為低度相關,其他為中度相關。相關系數的計算公式為:

在本文中,取10個土壤標樣,先用土壤水分測試儀測定出結果(用x表示),然后把這些樣品再用干燥法進行測量,測出結果(用y表示),算出誤差。測量結果見表1。

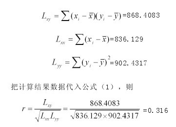
把表1的數據代入公式(2)、(3)、(4),可以得出

x,y兩個變量間線性相關關系是屬于中度相關,但是很靠近低度相關。也就是說,用土壤水分測試儀與干燥法測定土壤水分,兩方法測定的結果相關性屬中等,所以對該設備的測量數據沒有辦法給出修正公式或修正直線。校準時,只能是選擇用戶最需要使用的范圍進行一系列數據校準,根據其誤差進行數據處理修正。
通過對土壤水分測試儀原理和結構組成的說明,同時通過從理論和實際測量結果對校準方法進行研究。對土壤水分測試儀的校準方法,就是將其測量結果與干燥法測量結果進行比較,計算出誤差,然后根據誤差的結果進行修正溯源。
- 【中國農業儀器網】聲明部分文章轉載自其它媒體,轉載目的在于傳遞更多信息,并不代表本網贊同其觀點和對其真實性負責,且不承擔此類作品侵權行為的直接責任及連帶責任。如涉及作品內容、版權和其它問題,請在30日內與本網聯系。
- 上一篇:人工氣候培養箱系統中傳感器的設計
- 下一篇:馬尾杉孢子的形態特征觀察









